Weboldalunk használatával jóváhagyja a cookie-k használatát a Cookie-kkal kapcsolatos irányelv értelmében.IBO KBFU-50-1,5 | 18.5m 420l 230V 1.5kW 11.4A | IBO Merülő szivattyú [esővíz, felszíni víz szivattyúzására]
- Víz minőség (lebegő szennyeződés max. mérete mm - ben) 5 mm
 - Garancia 24 hónap
 - Cikkszám: 020474062
 - 
    Elérhetőség:
    
        Előrendelhető
 - Gyártó: IBO
 - 
        
Az IBO KBFU sorozatú merülő szivattyúk professzionális víztelenítési munkákhoz készültek, valamint minden olyan helyen alkalmazhatók, ahol fennáll a veszélye annak, hogy a szivattyúzott víz homokot, iszapot vagy koptató szemcséket tartalmaz. A szivattyúk felhasználhatók: árkok, gödrök, építési területek víztelenítésére; bányákban és kőfejtőkben; elárasztott helyiségek, házak, garázsok és épületek víztelenítésére. Hűtőköpennyel ellátott kivitel, így nem szükséges teljesen vízbe merítve alkalmazni. Menetes nyomócsonkja lehetővé teszi a nyomótömlő egyszerű csatlakoztatását bilinccsel vagy gyorscsatlakozóval. A motor beépített hővédelemmel van ellátva, úszókapcsolós kivitelű, hálózati dugvillával szerelt, 24 hónapos gyári garanciával rendelkezik.
Bővebben lásd: termék adatlap 'Leírás' fül.
Még bővebben lásd: Felhasználói kézikönyv ITT.
Ha kérdésed van a saját rendszereddel kapcsolatosan, akkor ne habozz azt megosztani velünk - szívesen segítünk!
 
Termékfülek
Leírás és Paraméterek
Műszaki adatok
- Emelés: 18.5 m
 - Teljesítmény: 420.0 l/min
 - Motor teljesítmény: 1.50 kW
 - Tápfeszültség: 1~230 V
 - Áramerősség: 11,4 A
 - Frekvencia: 50 Hz
 - Motor fordulatszám: 2850 ford./perc
 - Szigetelési osztály: F
 - Üzemmód: folyamatos
 - Védettségi fokozat: IP68
 - Járókerék típusa: Többlapátos
 - Szilárdtest áteresztő képesség: 5 mm
 - Csatlakozás [DN/hüvelyk]: 2
 - Nyomócsonk iránya: Függőleges
 - Beépített úszó/szonda: NINCS
 - Működési helyzet: Függőleges
 - Tápkábel hossza: 10.0 m
 - Méret (hossz/magasság/szélesség): 550/220/280 mm
 - Tömeg: 44.8 kg
 
Anyaghasználat
- Motorház: szürkeöntvény
 - Szivattyúház: szürkeöntvény
 - Tengely és rotor: rozsdamentes acél AISI 304
 - Járókerék: szürkeöntvény, kopásálló krómötvözet bevonattal
 - Mechanikus tömítés: SiC-SiC / Karbon-SiC
 - Csapágyak: NSK
 
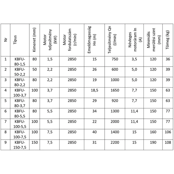
IBO KBFU 50,80,100,150 sorozatok műszaki áttekintő táblázata
	
| Tulajdonság | Érték | 
|---|---|
| Emelőmagasság | Max. 18 m | 
| Szállítási teljesítmény | Max. 420 liter/perc | 
| Áramfelvétel | 11.4 A | 
| Motor teljesítmény | 1500 Watt | 
| Tápfeszültség | 230 V | 
| Szigetelési osztály | F | 
| Védettség | IP68 | 
| Méretek H/SZ/M | 28/54 cm | 
| Csőcsatlakozás | 2" | 
| Tömeg | 44 kg | 
| Környezeti maximális hőmérséklet | 40 °C | 
| Folyadék maximális hőmérséklete | 35 °C | 
| Motor fordulatszám | 2850 RPM | 
| Üzemmód | Folyamatos |