Weboldalunk használatával jóváhagyja a cookie-k használatát a Cookie-kkal kapcsolatos irányelv értelmében.Ibo Italy FP4 D015 | 97m 90l 230V 1.10kW | IBO ITALY 230V 4 col Csőkút szivattyú [fúrt kút szivattyú]
- Motor hűtési mód: IBO ITALY olajhűtéses motor
 - Garancia 36 hónap
 - Maximális merítési mélység 200 m
 - Cikkszám: 030282300
 - 
    Elérhetőség:
    
        Előrendelhető
 - Gyártó: IBO ITALY
 - 
        
Az Ibo ITALY FP4 sorozatának rozsdamentes acél, többfokozatú, 98 mm átmérőjű olasz mélykút szivattyúi DRY RUN PRO technológiával készülnek, 3 éves gyári garanciával. Olyan kutakba tervezték, amelyek belső átmérője legalább 115 mm. A DRY RUN PRO technológia alkalmazásának köszönhetően az FP4 sorozatú szivattyúk megnövelt szárazon futás elleni védelemmel rendelkeznek, azaz kevésbé hajlamosak a megszorulásra szárazüzem esetén. A kialakításuk és a felhasznált anyagok alkalmassá teszik a szivattyúkat élelmiszer – feldolgozási célú víz szivattyúzására (olasz minősítés!). Az X,A,B,D,E sorozat szivattyúi 1¼”-os-, míg az F,H,L,Q sorozat szivattyúi 2”-os csőcsatlakozással rendelkeznek. A sorozat elérhető IBO Italy, és iQ PRO motorokkal is.
Alkalmazási terület
- Egy- és többlakásos családi házak, valamint mezőgazdasági létesítmények vízellátása.
 - Öntözőrendszerek (szórófejes, csepegtető) kiszolgálása.
 - Ipari felhasználás.
 - Tűzvédelmi rendszerek.
 - Vízmentesítés, drénezés.
 
Az egyes sorozatok bemutatását és bővebb információkat lásd: termék adatlap 'Leírás' fül.
Az egyes sorozatok műszaki paramétereinek áttekintő táblázatát lásd ITT.
Még bővebben lásd: Felhasználói kézikönyv ITT.
Ha kérdésed van a saját rendszereddel kapcsolatosan, akkor ne habozz azt megosztani velünk - szívesen segítünk!
 
Termékfülek
Leírás és Paraméterek
Az egyes sorozatok főbb paraméterei
	
Jellemzők
- Megnövelt homokállóság.
 - Beépített visszacsapó szelep.
 - Kiváló minőségű anyagok.
 - Hosszú, hibamentes élettartam az olasz gyártási technológiának köszönhetően.
 - Elérhető 230 V vagy 400 V változatban.
 - IBO Italy vagy IPRO motorral szerelve.
 - 230 V-os változatnál indítódoboz beépített túláramvédelemmel és kondenzátorral.
 - Lehetőség előre meghatározott hosszúságú (5 méter többszöröse) kábel csatlakoztatására.
 - 230 V-os változatnál hővédelem a motor tekercsbe építve.
 - Garanciális és garancián túli szerviz.
 - 36 hónap gyári garancia.
 
Műszaki adatok
- Maximális folyadékhőmérséklet: 35 °C.
 - Tápfeszültség: 230V (2.2kW - ig) vagy 400V (7.5kW - ig).
 - Szigetelési osztály: F.
 - Működési mód: folyamatos.
 - Védettségi szint: IP68.
 - Tápkábel hossza: 1,5 m.
 - Működési pozíció: függőleges / vízszintes.
 - Indítások maximális száma óránként: 30.
 - Motor fordulatszám: 2850 ford./perc.
 
Anyaghasználat
- Szívó-/nyomóház: AISI 304 rozsdamentes acél.
 - Ház: AISI 304 rozsdamentes acél.
 - Tengely és rotor: AISI 304 rozsdamentes acél.
 - Járókerék: PA (poliamid).
 - Diffúzor: PA (poliamid).
 - Csúszógyűrűs tömítés: SiC / SiC / NBR.
 
| Tulajdonság | Érték | 
|---|---|
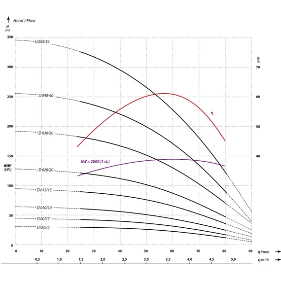
| Emelőmagasság | Max. 100 m | 
| Szállítási teljesítmény | Max. 90 liter/perc | 
| Szivattyú átmérő | 4" | 
| Homoktűrés | 250 g/m3 | 
| Áramfelvétel | 8.6 A | 
| Motor teljesítmény | 1100 Watt | 
| Tápfeszültség | 230 V | 
| Szigetelési osztály | F | 
| Védettség | IP68 | 
| Méretek (Átmérő/Hossz) | 98/861 mm | 
| Csőcsatlakozás | 5/4" | 
| Vill. kábel hossza | 1 m | 
| Tömeg | 15.7 kg | 
| Környezeti maximális hőmérséklet | 45 °C | 
| Folyadék maximális hőmérséklete | 45 °C | 
| Motor fordulatszám | 2850 RPM | 
| Üzemmód | Folyamatos | 
| Beépítés helyzete Vízsz/Függ | Vízszintes/Függőleges | 
| Invereter kompatibilis | Igen | 
| Maximum indítások száma/óra | 30 alkalom/óra |