Weboldalunk használatával jóváhagyja a cookie-k használatát a Cookie-kkal kapcsolatos irányelv értelmében.iQ PRO F-CPM 27 INOX | 29m 740l 400V 3.00kW | iPRO Centrifugál szivattyú [egyfokozatú centrifugális szivattyú zárt járókerékkel]
- Garancia 36 hónap
- Cikkszám: 041111008
-
Elérhetőség:
Utolsó 1 db raktáron
- Gyártó: iPRO
-
iQ PRO F-CPM felszíni szivattyú sorozat: egyfokozatú, zárt járókerekes rozsdamentes acél felszíni szivattyú 3 éves gyári garanciával, 90°C - os folyadék hőmérsékletig. A szivattyúkat enyhén szennyezett folyadékok, valamint legfeljebb 1 mm átmérőjű szilárd részecskéket tartalmazó közegek szivattyúzására tervezték. A szivattyúk olyan vízhez használhatók, amelynek maximális nem oldódó szilárdanyag-tartalma legfeljebb 0,26 kg/m³, valamint maximális oldott szilárdanyag-tartalma legfeljebb 51 kg/m³, feltéve, hogy a vízben lévő gázos összetevők aránya nem haladja meg a telítettségi fokot.
Alkalmazási területek
- Élelmiszeripar: mosó- és tisztítógépekben, élelmiszer-folyadékok szállítására, iszap átemelésére feldolgozóüzemekben, haltenyészetekben, borászatokban.
- Fémipar.
- Textilipar: alkalmazható festőüzemekben.
- Gyártóipar: palackok, dobozok, üvegek tisztításához.
- Mezőgazdaság: a szivattyúk közepesen viszkózus, alacsony agresszivitású folyadékok átemelésére használhatók. Alkalmasak műtrágya szivattyúzására, valamint öntözési és víztelenítési feladatokra is.
- Uszodarendszerek.
- Fűtésipar: légkondicionáló és fűtési rendszerekben.
- Közületi egységek: légkondicionáló rendszerek, víztisztító rendszerek, fűtési rendszerek, nyomásfokozó berendezések, úszómedencék.
Bővebben lásd: termék adatlap 'Leírás' fül.
Még bővebben lásd: Felhasználói kézikönyv ITT.
Ha kérdésed van a saját rendszereddel kapcsolatosan, akkor ne habozz azt megosztani velünk - szívesen segítünk! Elérhetőségeinket megtalálod ITT
Termékfülek
Leírás és Paraméterek
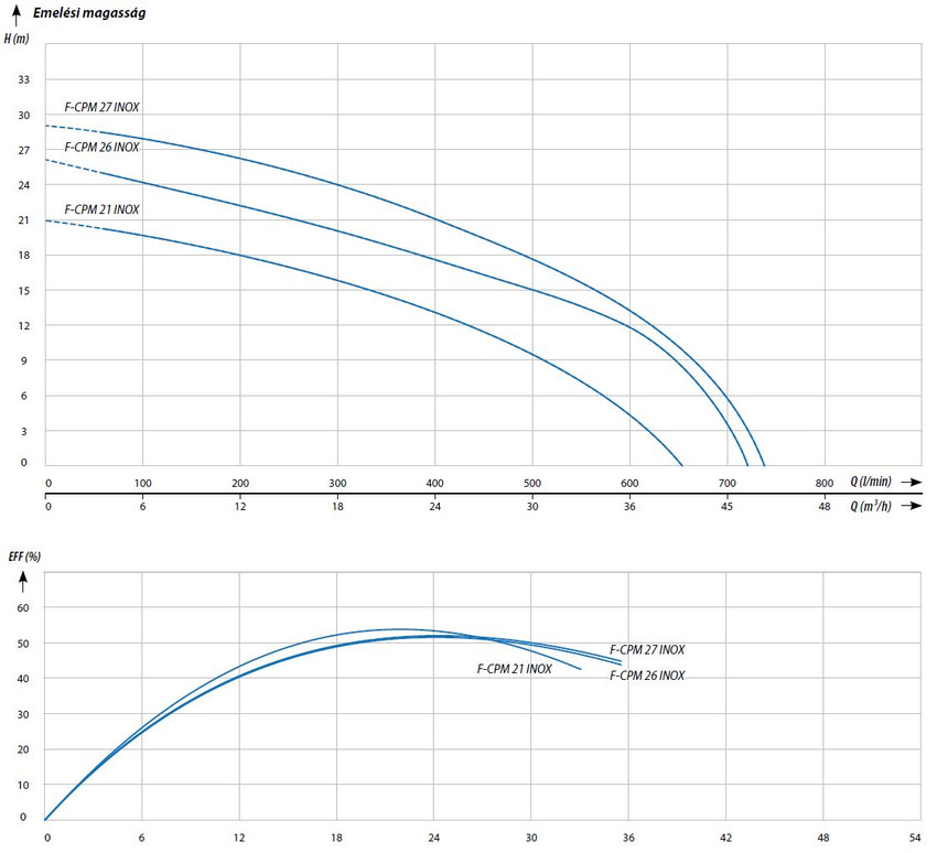
iQ PRO F-CPM sorozat - Jelleggörbék
iQ PRO F-CPM sorozat - Méretek
iQ PRO F-CPM sorozat - Műszaki adatok
• Szállított folyadék hőmérséklete (F-CPM típusnál): 5–90 °C
• Környezeti hőmérséklet: max. 50 °C
• Maximális üzemi nyomás: max. 10 bar
• Védettségi fokozat: IP55
• Tekercselés szigetelési osztálya: 155 (F)
iQ PRO F-CPM sorozat - Anyaghasználat
• Motor: aszinkron, rövidrezárt forgórészes, zárt kivitelű, alumínium ház, külső hűtéssel
• Tengely: AISI 304 rozsdamentes acél
• Ház: AISI 304 rozsdamentes acél
• Járókerék: AISI 304 rozsdamentes acél
• Válaszfal: AISI 304 rozsdamentes acél
• Tengelytömítés: grafit / szilícium-karbid / NBR
| Tulajdonság | Érték |
|---|---|
| Emelőmagasság | Max. 29 m |
| Szállítási teljesítmény | Max. 740 liter/perc |
| Áramfelvétel | 6.5 A |
| Motor teljesítmény | 3000 Watt |
| Tápfeszültség | 400 V |
| Szigetelési osztály | F |
| Védettség | IP55 |
| Méretek H/SZ/M | 43/26/19 cm |
| Csőcsatlakozás | 2 x 2" |
| Tömeg | 23.4 kg |
| Folyadék minimális hőmérséklete | 5 °C |
| Környezeti maximális hőmérséklet | 50 °C |
| Folyadék maximális hőmérséklete | 90 °C |
| Motor fordulatszám | 2850 RPM |
| Üzemmód | Folyamatos |
| Hosszúság: | 432 mm |
| Szélesség: | 193 mm |
| Magasság: | 258 mm |